Класическая батарейная система зажигания

Такая электромеханическая система служит для выработки импульсов высокого напряжения, образующих искру между электродами свечей зажигания, синхронизации этих импульсов с фазой работы двигателя и распределения высоковольтных импульсов по цилиндрам двигателя в необходимой последовательности.
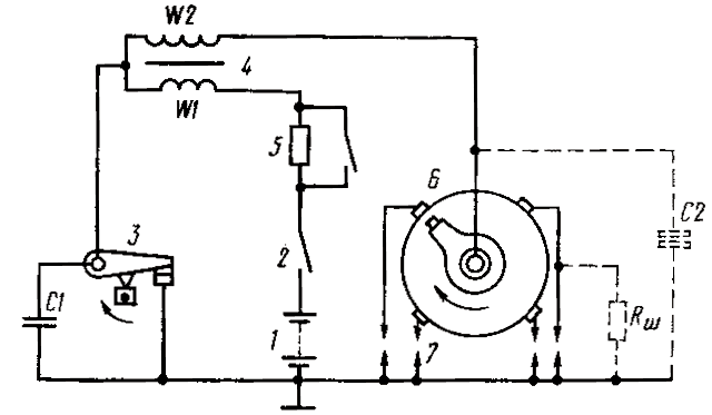
Принципиальная электрическая схема классической батарейной системы зажигания представлена на рис. 1.

Рис. 1. Принципиальная электрическая схема классической батарейной системы зажигания:
1 - аккумуляторная батарея; 2 - замок зажигания:
3 - прерыватель; 4 - катушка зажигания; 5 - добавочный резистор (вариатор) с замыкателем; 6 - распределитель; 7 - свечи зажигания

Пунктирными линиями обозначены параметры нагрузки вторичной цепи: С2 - распределенная емкость вторичной цепи; Rш - шунтирующее сопротивление, обусловленное нагарообразованием на свече.
Конструктивно прерыватель тока 3 объединен с высоковольтным распределителем 6 в единый прибор - распределитель зажигания, на корпусе которого обычно установлен и искрогасительный конденсатор С1. Кулачок прерывателя и ротор распределителя расположены на общем валике, который вращается в два раза медленнее коленчатого вала двигателя *.
Катушка зажигания 4 представляет собой трансформатор с сердечником, собранным из отдельных пластин, на котором намотана первичная обмотка w1, содержащая небольшое число витков толстого провода, и вторичная обмотка w2, состоящая из большого числа витков очень тонкого провода. Катушка зажигания выполнена по автотрансформаторнои схеме, что упрощает конструкцию, а также несколько увеличивает вторичное напряжение.
Добавочный резистор 5 (вариатор) ограничивает силу тока в первичной цепи и предохраняет катушку зажигания от тепловых перегрузок. При пуске двигателя на период включения стартера замыкатель закорачивает резистор 5, что приводит к уменьшению сопротивления первичной цепи катушки зажигания. Этим компенсируется снижение напряжения аккумуляторной батареи при работе стартера.
Принцип работы батарейной системы зажигания заключается в следующем. При вращении кулачка распределителя контакты прерывателя 3 попеременно замыкаются и размыкаются. После их замыкания через первичную обмотку w1 катушки зажигания 4 протекает ток, нарастающий от нуля по экспоненциальному закону. Этот ток определяется временем замкнутого состояния контактов и параметрами первичной цепи.
К моменту размыкания контактов ток в первичной обмотке катушки зажигания достигает следующей величины:

где Iмакс - максимальный ток в первичной цепи при

Iр- ток разрыва;
t3- время замкнутого состояния контактов;
Е - напряжение аккумуляторной батареи;
tau = L1/R1 - постоянная времени первичной цепи;
LI, R1 - соответственно индуктивность и активное сопротивление первичной обмотки катушки зажигания.
Из приведенного уравнения следует, что при малых оборотах двигателя ток в первичной обмотке успевает возрасти до максимального значения (Iр = Iмакс ), а на больших оборотах вследствие уменьшения амплитуды первичного тока (тока разрыва) он значительно снижается.
Протекая через первичную обмотку, ток вызывает образование магнитного потока в сердечнике катушки зажигания и накопление электромагнитной энергии, которая равна:

где WL - энергия магнитного поля;
L1 - индуктивность первичной обмотки;
Iр- ток разрыва.
Поскольку скорость нарастания первичного тока достаточно мала, ЭДС, наводимая во вторичной обмотке катушки зажигания в этот момент, также мала (1,5- 2 кВ), и пробоя искрового промежутка свечи не происходит.
При размыкании контактов прерывателя первичный ток резко уменьшается, что приводит к исчезновению магнитного потока в катушке зажигания. Уменьшающийся магнитный поток, пересекая витки первичной обмотки, наводит в ней ЭДС самоиндукции, которая задерживает моментальное исчезновение тока в первичной цепи. Длительность задержки тока пропорциональна индуктивности L1 первичной обмотки катушки зажигания. Кроме того, благодаря постепенному размыканию контактов прерывателя поддерживаемый в первичной обмотке ток в течение некоторого времени продолжает протекать через дугу, образовавшуюся в зазоре между контактами. Это явление приводит к разрушению контактов и к дополнительному затягиванию тока, что эквивалентно уменьшению скорости исчезновения магнитного потока в первичной обмотке.
Для предохранения контактов прерывателя от дугового разряда параллельно им включен конденсатор С1 (см. рис. 31). В момент размыкания контактов прерывателя во вторичной обмотке индуцируется высокое напряжение U 2 макс" достигающее амплитуды 15-26 кВ.
В тот момент когда это напряжение достигает величины пробивного напряжения свечи зажигания, происходит искровой разряд. Длительность его в первом приближении зависит от количества энергии WL, накопленной в первичной обмотке катушки зажигания, и обычно имеет величину 1-3 мс. Далее контакты прерывателя замыкаются, весь цикл работы повторяется, и рабочая смесь воспламеняется уже в следующем цилиндре.
Величина вторичного напряжения U2макс катушки зажигания, являющегося выходным напряжением батарепной системы зажигания, определяется выражением:

где Iр - ток первичной цепи в момент размыкания контактов прерывателя (ток разрыва);
w2/w1 - коэффициент трансформации катушки зажигания;
С2 - емкость вторичной цепи системы.
Из рассмотрения уравнений следует, что вторичное напряжение уменьшается при увеличении оборотов двигателя (и числа его цилиндров) из-за уменьшения величины тока разрыва Iр вследствие сокращения времени замкнутого состояния контактов прерывателя. Это первый принципиальный недостаток батарейной системы зажигания.
Снижение вторичного напряжения Us макс наблюдается и при малых оборотах двигателя, хотя теоретически в соответствии с последним уравнением оно должно было бы оставаться постоянным, поскольку при малых оборотах двигателя ток разрыва достигает установившегося значения. Это снижение объясняется дуговым paз-рядом между контактами прерывателя вследствие уменьшения скорости размыкания контактов. В этом случае напряжение на контактах возрастает быстрее, чем увеличивается электрическая прочность междуконтактного пространства.
Дугообразование на контактах прерывателя и снижение вторичного напряжения при малых оборотах двигателя - второй принципиальный недостаток батарейной системы зажигания.
Напряжение U2макс значительно снижается и при загрязнении свечей зажигания. Дело в том, что параллельно искровому промежутку образуются токопрово-дящие мостики из нагара, создающие шунтирующее сопротивление Rш , по которому протекает часть вторичного тока. Величина Rш обычно находится в пределах 3-6 МОм.
При сильно загрязненных свечах (Rш 0,25-0,5 МОм) утечки и вызываемые ими потери могут настолько уменьшить напряжение U2макс , что оно станет ниже пробивного напряжения свечи и воспламенениярабочей смеси в цилиндре не произойдет. Напряжение U2макс уменьшается и с увеличением емкости вторичной цепи С2.
Снижение вторичного напряжения при уменьшении RШ и увеличении С2 является третьим принципиальньмнедостатком батарейной системы зажигания.
Из выше рассмотренной формулы вытекает, что величина вторичного напряжения прямо пропорциональна току разрыва. Однако увеличение этого тока ограничивается электроэрозионной стойкостью контактов прерывателя. Все современные системы батарейного зажигания имеют ток разрыва не более 4-4,5 А- Но и при таком токе контакты прерывателя настолько сильно нагружены, что на восьмицилиндровых двигателях, например, их хватает всего на 30-40 тыс. км пробега.
Степень влияния коэффициента трансформации w2/w1 на величину U2макс зависит от шунтирующего сопротивления Rш. При Rш =0,5 МОм увеличение коэффициента трансформации выше определенного значения не приводит к увеличению вторичного напряжения.
Наконец, величину U2макс казалось бы, можно увеличить, увеличивая индуктивность первичной обмотки L1. Однако на практике это неизбежно приводит к уменьшению тока разрыва при больших оборотах двигателя, а следовательно, к значительному уменьшению U2макс.
Все это позволяет заключить, что батарейная система зажигания достигла в своем развитии принципиального предела и дальнейшее существенное улучшение ее параметров не представляется возможным.

Обсудить эту статью на форуме (0 ответов).
Вся информация, предоставленная на данном ресурсе разрешена к ознакомлению детям школьного возраста. Все практическое использование может быть связана с повышенной электрической опасностью и разрешено детям только под присмотром взрослых.